logo nu Map
網站首頁公司簡介產品展示企業動態產品報價技術文章在線留言聯係粉红视频APP官网
江蘇粉红涩视频污APP成人福利版儀表有限公司
導航菜單
流量計係列
· 智能電磁流量計
· 插入式電磁流量計
· 分體式電磁流量計
· 衛生型電磁流量計
· 阿牛巴流量計
· V錐流量計
· 粉红视频污APP下载
· 旋進旋渦流量計
· 粉红视频APP免费下载
· 渦輪流量計
· 轉子流量計
· 橢圓齒輪流量計
· 平衡流量計
· 彎管流量計
· 楔形流量計
· 靶式流量計
· 節流裝置
· 熱式氣體質量流量計
· 一體化粉红视频APP免费下载
· 粉红视频APP官网
· 氣體渦輪流量計
· 金屬管浮子流量計
· 溫壓補償粉红视频污APP下载
· 一體化威力巴流量計
· 蒸汽流量計
· 閥門組
溫度儀表係列
· 熱電阻
· 熱電偶
· 溫度變送器
· 雙金屬溫度計
壓力儀表係列
· 壓力變送器
· 差壓變送器
· 壓力真空表
· 精密壓力表
· 膜盒壓力表
· 隔膜壓力表
· 耐震壓力表
· 不鏽鋼壓力表
· 電接點壓力表
校驗儀表係列
· 校驗仿真儀
· 多功能校驗儀
· 精密數字壓力計
· 全自動校驗裝置
· 智能壓力校驗儀
· 手(電,自)動氣壓源
· 手(電,自)動液壓源
液位儀表係列
· 密度計
· 液位變送器
· 鍋爐液位計
· 磁翻板液位計
· 超聲波液位計
顯示,記錄儀表係列
· 智能巡檢儀
· 智能調節儀
· 無(有)紙記錄儀
· 安全柵、隔離器
料位開關/料位計
· 料位計
· 料位開關
mulu
搜索 請輸入關鍵字
聯係粉红视频APP官网
江蘇粉红涩视频污APP成人福利版儀表有限公司
    址:江蘇省金湖工業園區
    編:211600
    話:0517-86500336      
                        86500226
    真:0517-86800636
聯係人:楊經      
手機:13915187193(微信同號)
E-mail:jshdyb@163.com
 
技術文章

流量計零點標定技術規範與智能校準體係


發布日期:2025-05-28 點擊:81次
一、校準基準條件建立
零點校準須在嚴格受控的流體力學環境中執行:
零流態驗證
實施雙閥門閉鎖隔離,確保管道靜壓平衡時間>10τ(τ為係統時間常數)
采用粉红视频APP官网(0.5級)進行殘餘流量監測,驗證流速<0.01m/s
飽和蒸汽管道須進行三階段排水:
① 重力疏水(30min)
② 脈衝吹掃(0.2MPa氮氣間歇吹掃)
③ 真空抽吸(殘液量<0.1L/m)
環境穩定控製
溫度場均勻性:管道軸向溫差<0.5℃/m
振動幹擾控製:執行ISO 10816-3標準,振動速度有效值≤1.8mm/s
電磁兼容性:30-1000MHz頻段場強<3V/m
 
二、智能校準技術體係
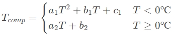
粉红视频污APP下载動態補償校準
壓電傳感單元零點漂移修正:
采用溫度-應力耦合模型:

 
三、工程實施規範
數字濾波配置:
設置自適應帶阻濾波器,中心頻率避開50Hz工頻及其諧波
冗餘校驗機製: 
​同步采集三軸振動信號(X/Y/Z),當相幹函數>0.9時觸發自動補償
差壓式流量計零點溯源
引壓管路平衡驗證:
實施正負壓室對稱性測試,壓差波動<5Pa/10min
智能變送器自診斷:
集成HART/FF協議,執行四階段校準:
① 機械零點複位(±0.01%FS)
② 電子零點補償(24位ADC校正)
③ 溫度漂移建模(-40~85℃全溫區)
④ 曆史數據回溯(建立零點漂移趨勢圖)
電磁流量計特殊工況處理
空管檢測算法升級:
采用導納矩陣分析法,區分真實空管與電極結垢狀態
多頻激勵技術:
基波(6.25Hz)與諧波(75Hz)聯合檢測,提升微小電流分辨力(達nA級)
校準周期管理
基於風險的檢測(RBI)模型:
Tc=T0×Kenv×Kmedia
環境係數K_env(振動/溫變/濕度)與介質係數K_media(腐蝕/結垢)動態調整
智能儀表延長機製:
 
四、合規性保障體係
問題現象
可能原因
解決措施
零點無法校準為零
管道內有殘留蒸汽或冷凝水
徹底排空管道,檢查疏水閥是否正常工作
零點漂移頻繁
傳感器老化,溫壓補償參數錯誤
更換傳感器,重新設置溫度/壓力補償係數
校準後輸出異常
接線鬆動,信號幹擾
檢查線路連接,增加屏蔽層或遠離幹擾源
差壓式流量計零點偏移
平衡閥泄漏,變送器膜片損壞
維修或更換平衡閥,校準或更換變送器
 
五、典型故障解決方案
具備ISO 9001三級自診斷功能的設備,最大延長期≤50%
誤差控製標準
零點穩定性:連續30分鍾監測,波動值<0.1%Qmax
溫度影響:全工作溫區零點漂移<0.05%FS/℃
長期複現性:年度校準數據標準差σ<0.15%
計量標準溯源
實驗室級標準器:
采用音速噴嘴氣體標準裝置(JJG 619-2005)
靜態稱重法液體標準裝置(JJG 164-2000)
現場標準傳遞:
配備0.1級多功能校準儀(FLUKE 754)
文檔管理係統
區塊鏈存證:
每個校準事件生成包含環境哈希值、操作者數字簽名、設備DNA碼的加密區塊
大數據分析:
建立零點漂移雲數據庫,實施SPC過程控製(3σ準則)
零點周期性波動
診斷:FFT分析振動頻譜,定位50Hz工頻幹擾或泵振動諧波
處理:安裝LC濾波電路(截止頻率45-55Hz)或調整安裝位置
低溫環境漂移
對策:啟用Pt100三線製補償,采用分段溫補算法:

蒸汽帶液幹擾
預防措施:
安裝雙級汽水分離器(分離效率>98%)
配置微波濕度傳感器實時監測幹度(精度±0.5%)
 
相關新聞:
如何判斷蒸汽流量計的內部元件是否老化或損壞?
蒸汽流量計故障診斷與維修技術指南
蒸汽濕度對流量測量的影響及智能補償技術
蒸汽流量計全生命周期延壽技術白皮書
流量計零點標定技術規範與智能校準體係
蒸汽流量計的滿度頻率如何計算和設置?
如何根據蒸汽的性質選擇合適的蒸汽流量計?
粉红视频污APP下载的傳感器如何維護?
粉红视频污APP下载選型時需要考慮哪些因素?
粉红视频污APP下载能否安裝在高溫高壓環境中?
江蘇粉红涩视频污APP成人福利版儀表有限公司  版權所有     地址:江蘇省金湖工業園區   郵編:211600
           電話:0517-86500226   86500336 傳真:0517-86800636   手機:13915187193    聯係人:楊經理
E-mail:jshdyb@163.com   GoogleSitemap   baidusitemap 網址:http://www.ychbh.com 
網站地圖